用户名 密码
网站介绍
   位置导航:首页 → 热点题库 2025年10月25日 星期六 
 
 


合理安排时间应对学习考试

科学的时间安排,无疑是提高学习效率的保证。有些同学的学习时间安排比较混乱;有些同学虽然学习效率还可以,但没有刻意的制定学习时间表,建议同学们都可以尝试设计一下自己的学习时间表,这样将更能提高学习效率,保证整个学习计划都能顺利完成。
这样就会使学习的效果和效率都得到很大的提高。


数学学习快速记忆6个技巧

1、归类记忆法 比如,学完计量单位后,可以把学过的所有内容归纳为五类:长度单位;面积单位;体积和容积单位;重量单位;时间单位。这样归类,能够把纷纭复杂的事物系统化、条理化,易于记忆。
2、歌诀记忆法 就是把要记忆的数学知识编成歌谣、口诀或顺口溜,从而便于记忆。比如,量角的方法,就可编出这样几句歌诀:“量角器放角上,中心对准顶点,零线对着一边,另一边看度数。”
3、规律记忆法  即根据事物的内在联系,找出规律性的东西来进行记忆。比如,识记长度单位、面积单位、体积单位的化法和聚法。



4、列表记忆法
就是把某些容易混淆的识记材料列成表格,达到记忆之目的。这种方法具有明显性、直观性和对比性。比如,要识记质数、质因数、互质数这三个概念的区别,就可列成表来帮助记忆。
5、重点记忆法 比如,学习常见的数量关系:工作效率×工作时间=工作量。工作量÷工作效率=工作时间;工作量÷工作时间=工作效率。这三者关系中只要记住了第一个数量关系,后面两个数量关系就可根据乘法和除法的关系推导出来。
6、联想记忆法 就是通过一件熟悉的事物想到与它有联系的另一件事物来进行记忆。

数学
   最新被查看答案的100道 数学 题目 热点题库  
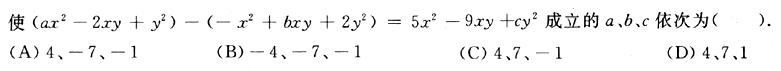
1. sxyffae100601203925-0

答案例子 此题2分  
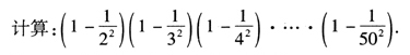
2. sxyffak100726144547-0

答案例子 此题2分  
3. sxwhyai100520101528-0

答案例子 此题2分  
4. sxwtad100416105229-0

答案例子 此题2分  
5. sxwhyac100409140929-0

答案例子 此题2分  
6. sxcxwac100428105647-0

答案例子 此题2分  
7. sxwtaa100324153743-0

答案例子 此题2分  
8. sxjyyaf100430083338-0

答案例子 此题2分  
9. sxjyyac100407170755-0

答案例子 此题2分  
10. sxhxqaa100406173216-0

答案例子 此题2分  
全选
共 10页 100道,第[ 7]页,每页 10 道 首页 上一页 下一页 尾页  跳转:

刊登广告  微信:sotichina Tel:021-22810390 e-mail:421877690@qq.com  沪ICP备2024064369号-3  联系我们

  版权所有 Copyright© 2023-2053